Fig. 6
From: A cell engineering approach to enzyme-based fed-batch fermentation

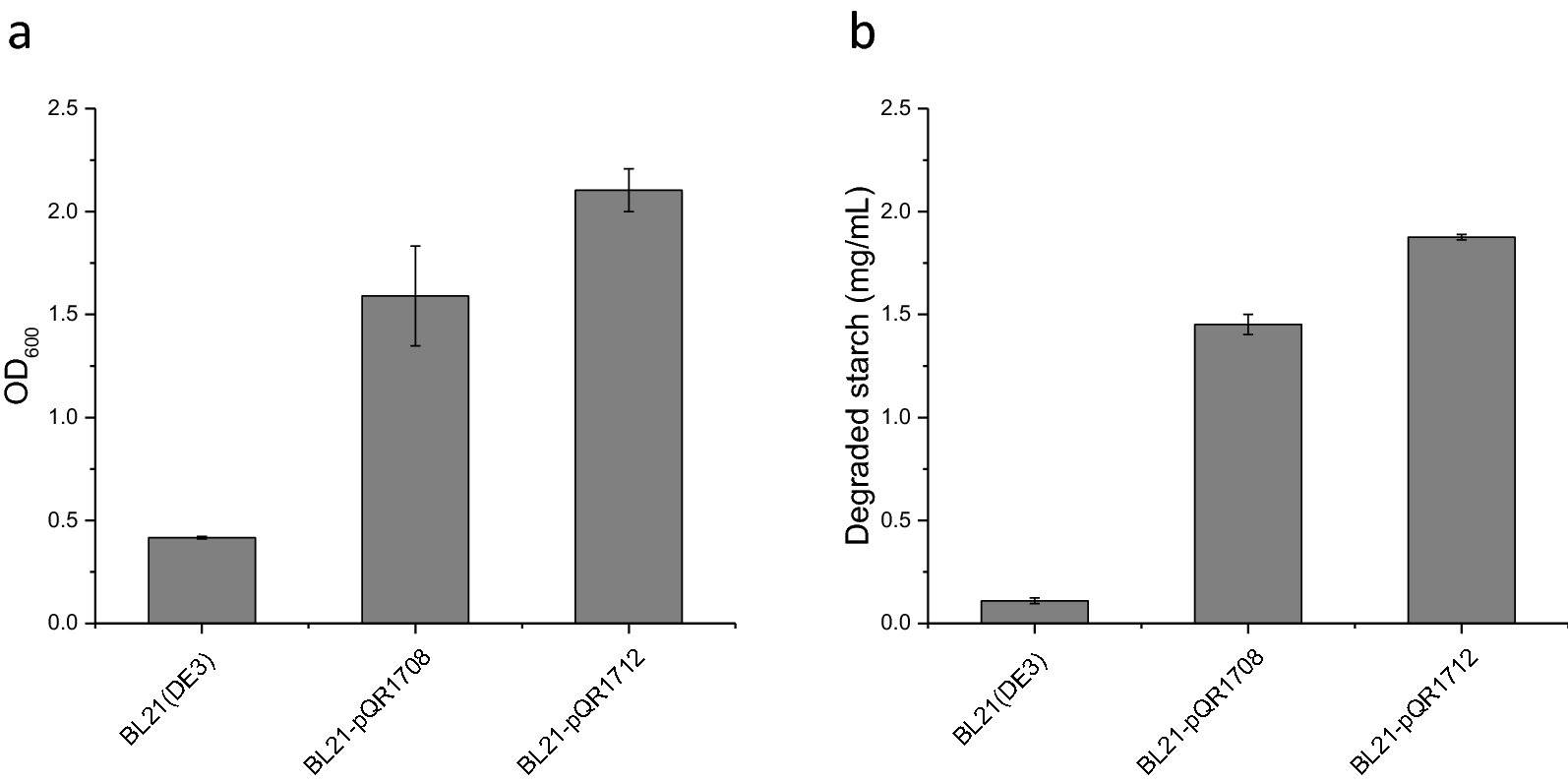
Glucose releasing amyloltic E. coli strains and their utilisation of starch as a sole carbon source. E. coli BL21(DE3) harbouring either pQR1708 (native signal sequence) or pQR1712 (DsbA signal sequence) inoculated with an initial OD600 of 0.25 and cultured over a 24 h period at 30 °C, 250 rpm, in glucose free MSM supplemented with 2.5 mg/mL starch. a Cell density (OD600) after 24 h of culture. b Amount of starch degraded (mg/mL) in culture media after 24 h of culture, determined by absorbance of starch/iodine complex at 600 nm in starch degradation assay. Error bars represent standard deviation, n = 3